Fig. 3
From: Altered regional gray matter volume in Chinese female patients with bulimia nervosa

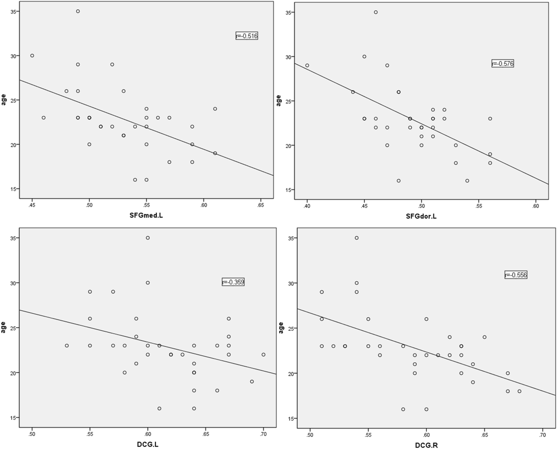
Correlation of regional grey matter volume with age in BN patients
From: Altered regional gray matter volume in Chinese female patients with bulimia nervosa

Correlation of regional grey matter volume with age in BN patients