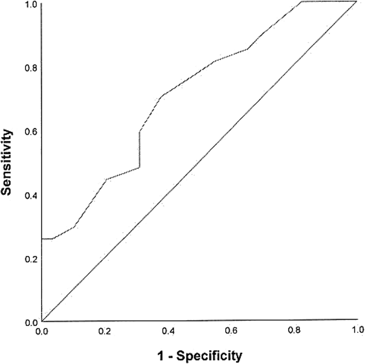
Fig. 1

ROC curve for anxiety scale score for the prediction of CBCL internalizing score. The children’s scores on the Anxiety Scale were used to predict whether their CBCL internalizing t-score was within the clinical range or not. AUC = .709 (SE = .068), p = .007; Asymptotic 95% CI = .575–.843